Filter and sort
Solo Instrumental
Special Offers
-
Vendor: Hal Leonard
Who Would Imagine a King ShowTrax CD
Regular price $32.99 -
Vendor: Hal Leonard
America! Studiotrax CD
Regular price $32.99 -
Vendor: Hal Leonard
Shine Your Light ShowTrax CD
Regular price $35.99 -
Vendor: Hal Leonard
I Knew You Were Trouble Studiotrax CD
Regular price $35.99
-
Vendor: Hal Leonard
Ashokan Farewell for Harp
Arranger: Deborah FriouAshokan Farewellfor HarpPublisher: Hal LeonardCategory: Solo InstrumentalSeries: HarpFormat: PaperbackAshokan Farewell for HarpInventory # : 00722590UPC: 73999888188ISBN: 962812013Width: 8.5"Length: 11"Height: 0.022"Product Weight: 0.1 lbs.Number of Pages: 4 Condition: New Item# 00722590 Authorized DealerRegular price $9.99 -
Vendor: Hal Leonard
Recorder Fun! Teach Yourself the Easy Way!
Recorder Fun! Teach Yourself the Easy Way!Publisher: Hal LeonardCategory: Solo InstrumentalSeries: RecorderFormat: Softcover Audio OnlineThis book with online audio will have you playing 40 great songs on recorder in no time! The book includes all the...Regular price $11.99 -
Vendor: Hal Leonard
A Tune a Day - Cornet or Trumpet Book 1
Author: C. Paul HerfurthA Tune a Day - Cornet or TrumpetBook 1Publisher: Music Sales AmericaCategory: Solo InstrumentalSeries: Music Sales AmericaFormat: PaperbackThese are the original editions of the ever-popular instruction books for various instruments by C. Paul...Regular price $11.99 -
Vendor: Hal Leonard
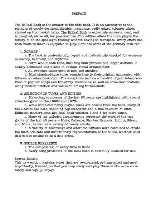
The Real Book - Volume II - Second Edition Bb Edition
Composer: VariousThe Real Book - Volume II - Second Edition Bb Edition Publisher: Hal Leonard Category: Solo Instrumental Series: Fake Book Format: Paperback The Real Books are the best-selling jazz books of all time. Since the...Regular price $59.99 -
Vendor: Hal Leonard
Harp Scoring
Harp ScoringPublisher: Hal LeonardCategory: Solo InstrumentalSeries: HarpFormat: SoftcoverStanley Chaloupka was the principal harpist with the Los Angeles Philharmonic for 40 years. He wrote this book for composers and arrangers to assist them in achieving their desired...Regular price $10.99 -
Vendor: Hal Leonard
The Star-Spangled Banner For Harp
The Star-Spangled Banner for HarpPublisher: Hal LeonardCategory: Solo InstrumentalSeries: HarpFormat: SoftcoverSylvia Woods has made two harp arrangements of The Star-Spangled Banner. The first version, in the key of C, can be played on lever or pedal...Regular price $7.99
-
ITEM BAR TITLE
Share shipping, delivery, policy information.
-
ITEM BAR TITLE
Share shipping, delivery, policy information.
-
ITEM BAR TITLE
Share shipping, delivery, policy information.
-
ITEM BAR TITLE
Share shipping, delivery, policy information.